立博体育

  • 订阅号
  • 服务号
您现在的位置: 立博体育 > 新闻纵览 > 立博体育 公告
立博体育 公告
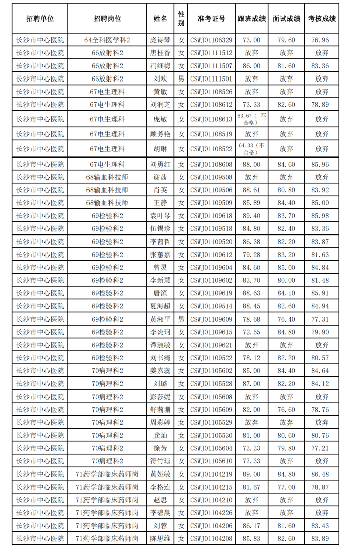
2023年长沙市卫生健康委员会直属事业单位公开招聘考核成绩公示
发布日期:2023-07-04